Background
Population studies demonstrate widening survival disparities in AML survival. In our previous analysis, census tract-based measures of socioeconomic status accounted for most of the AML death disparity for non-Hispanic Black (NHB) and Hispanic patients (pts) suggesting that patients' social and physical environments contribute to poor AML endpoints (Abraham et al. Blood 2022). However, these data are retrospective and only provide neighborhood-level information. We prospectively collected individual level data on SDOH and linked this to treatment delivery and complications.
Methods
Patients were prospectively enrolled from two institutions: a comprehensive cancer center and a minority-serving cancer center for a planned 2 year follow-up. A mixed-methods approach utilized validated questionnaires and semi-structured interviews administered to patients 30-90 days from diagnosis and data was collected on adherence, falls, infections, ER visits, hospitalizations, and ICU admission. Quantitative measures included patient neighborhood and environmental living conditions (AHC HRSN), health literacy (CHLT-6), financial toxicity (COST-FACIT), medication affordability/adherence (ARMS), and mental health (PHQ-4). Quantitative data was supplemented with qualitative data from semi-structured interviews from a subset of patients. We used linear regression to estimate statistical differences in means between groups.
Results
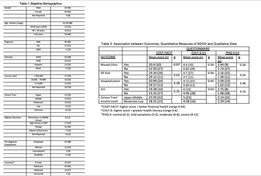
We report results from 52 patients, predominantly with AML and high-risk MDS followed for up to 6 months. Baseline characteristics are summarized in Table 1. Median age was 62 years. 38% were non-Hispanic White (NHW), 25% NHB, and 23% Hispanic and lived in socioeconomically diverse census tracts. Half the cohort had a high school education or less. 40% had an annual income level < $25,000. 40% pts had a Charlson comorbidity index (CCI) ≥ 5. On the AHC HRSN tool, housing and food insecurity were reported in 10% and 15%, respectively, 40% reported difficulty paying for basic needs and 22% loneliness/isolation.
In terms of care delivery, pts aged ≥ 65 years were more likely to miss clinic visits (p=0.026) and chemotherapy treatments (p=0.005). Non-white (p=0.13) pts and those on public insurance (p=0.04) were also more likely to miss clinic visits. Education level, income, and marital status were not associated with missed visits/treatments.
Assessing treatment complications 60% of ER visits occurred with annual household incomes under $50,000 (p=0.048). Education and insurance were also linked to treatment morbidity, with 75% of ICU admissions having a high school education or less (p=0.09) and 83% having Medicare or Medicaid (p=0.087). Rates of mechanical ventilation mirrored these findings. Education was associated with lower rates of discharge to SNF or SAR, 72% of college or higher-educated pts were discharged home (p=0.035). Fall rates and infectious complications did not differ based on SDOH. Interestingly age and CCI did not distinguish between any of these treatment complications.
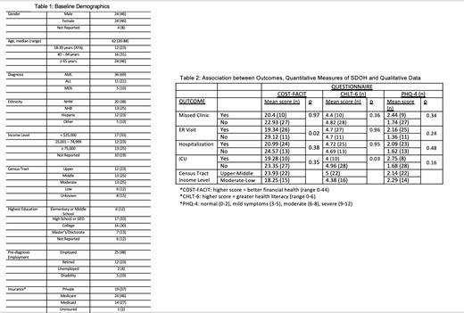
Validated patient reported measures of social vulnerability were next examined as predictors of treatment adherence and complications (Table 2). The mean COSTFACIT was 9.8 lower (95% CI -17.6 to -1.93) in those with ER visits than those without ER visits (p=0.061). The mean CHLT-6 score was 0.96 lower (95% CI -1.8 to -0.09) in pts admitted to the ICU (p = 0.03). The PHQ-4 score did not differ based on any complication.
Discussion
This study represents the first attempt to prospectively link patient reported SDOH to treatment delivery and early complications in leukemia and provides valuable insights into targetable barriers to overcome disparities. Age was the most significant risk factor for missed clinic visits and chemotherapy doses. Older pts may benefit from navigators, caregiver engagement, tailored education given increased reliance on complex outpatient regimens. Treatment complications were strongly associated with SDOH, including education and household income. These findings suggest that pre-treatment ‘fitness’ assessments and greater home-based visits during treatment may mitigate ER visits and life-threatening complications. Importantly, quantitative SDOH measures such as COST-FACIT and CHLT-6 can prospectively identify patients at risk of early complications and become an important tool to triage these resources.
Disclosures
Abaza:Rigel: Honoraria, Membership on an entity's Board of Directors or advisory committees; Astellas: Honoraria, Membership on an entity's Board of Directors or advisory committees; Servier: Honoraria, Membership on an entity's Board of Directors or advisory committees; Pfizer: Honoraria, Membership on an entity's Board of Directors or advisory committees; Kite: Honoraria, Membership on an entity's Board of Directors or advisory committees; BMS: Honoraria, Membership on an entity's Board of Directors or advisory committees; Novartis: Research Funding; Biomea: Research Funding; Curis: Research Funding; Biosight: Research Funding; ALX Oncology: Research Funding. Altman:Kartos Therapeutics: Consultancy, Research Funding; Fujifilm: Consultancy, Research Funding; Celgene: Consultancy, Research Funding; Bristol Myers Squibb: Consultancy, Research Funding; Boehringer Ingelheim: Consultancy, Research Funding; Aptose Biosciences: Consultancy, Research Funding; Aprea AB: Consultancy, Research Funding; Amphivena: Consultancy, Research Funding; Amgen: Consultancy, Research Funding; Bluebird Bio: Consultancy, Membership on an entity's Board of Directors or advisory committees; ALX Oncology: Consultancy, Research Funding; Agios: Consultancy, Research Funding; MD Education: Consultancy, Membership on an entity's Board of Directors or advisory committees; Syros: Consultancy, Membership on an entity's Board of Directors or advisory committees; Stemline Therapeutics: Consultancy, Membership on an entity's Board of Directors or advisory committees; Kymera: Consultancy, Membership on an entity's Board of Directors or advisory committees; Kura Oncology: Consultancy, Membership on an entity's Board of Directors or advisory committees, Research Funding; Gilead: Consultancy, Membership on an entity's Board of Directors or advisory committees; Curio: Consultancy, Membership on an entity's Board of Directors or advisory committees; BioSight: Consultancy, Membership on an entity's Board of Directors or advisory committees, Research Funding; Astellas Pharma: Consultancy, Membership on an entity's Board of Directors or advisory committees, Research Funding; AbbVie: Consultancy, Membership on an entity's Board of Directors or advisory committees, Research Funding; Loxo: Consultancy, Research Funding; Pfizer: Consultancy, Research Funding; Telios: Consultancy, Research Funding; GlycoMimetics: Consultancy, Membership on an entity's Board of Directors or advisory committees; Cyclacel: Consultancy, Research Funding; Immunogen: Consultancy, Research Funding. Quigley:Pfizer: Research Funding; Recordati Rare Diseases, Inc: Honoraria; Rigel Pharmaceuticals Inc.: Current equity holder in publicly-traded company, Honoraria; Servier Pharmaceuticals: Speakers Bureau; Teva Pharmaceuticals: Research Funding; Amgen Pharmaceuticals: Research Funding; Mitsubishi: Consultancy; Alnylam Pharmaceuticals: Speakers Bureau; AbbVie: Research Funding. Dinner:Pfizer: Research Funding; Rigel: Research Funding; BMS: Research Funding; Novartis: Research Funding; Kite/Gilead: Research Funding.
